测绘与海洋信息学院物理海洋学科团队在海气通量研究上取得重大理论突破,研究成果以‘The influence of swell on the atmospheric boundary layer under non-neutral conditions(非中性条件下涌浪对边界层的影响)’为题,于2018年4月发表在物理海洋学国际顶级期刊JOURNAL OF PHYSICAL OCEANOGRAPHY上,测绘与海洋信息学院邹仲水博士为第一作者。
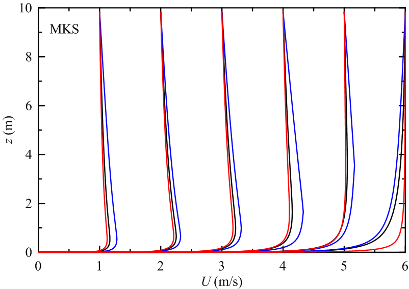
海气界面的动量通量,又称之为风应力,是海洋-大气相互作用的重要动力参数之一,反应大气向海洋中输入动量,推动海洋生成浪、流的大小,所以准确的参数化海气界面动量通量对海洋-大气耦合模式具有重要实用价值。经过几十年的研究,研究者们给出了纯风浪情况下动量通量随风速、风浪成长状态变化的定量关系。但是最近研究显示,涌浪在全球分布广泛,根据不同海域和季节涌浪成分可达20 %~40 %,部分区域甚至达90 %,形成了不同于风浪的特殊大气边界层,为准确的参数化动量通量带来了较大不确定性。针对该问题,测绘与海洋信息学院物理海洋团队对非中性条件下的涌浪边界层进行了理论探讨,结果显示浮力因素是影响动量通量的另一个因素。
为了更好的刻画涌浪情况下的动量通量,该团队利用常通量模型给出了新的参数化方案,方案中包含风剪切因素、浮力因素以及海浪雷诺应力,与来自Flux Observation Project in the South China Sea 的观测数据对比显示,该方案有效的提高了海气界面动量通量准确性。

图一MKS和MOS湍流封闭方案包含浮力时风速廓线的变化

图二新参数化方案与观测数据比较